焦半径公式 — |PF|的两种形式
模块二 · 第2课
上一课我们从几何定义推导出了标准方程。今天我们要学一个非常实用的公式——焦半径公式。它能让我们用一个简洁的表达式来计算椭圆(或双曲线)上任意一点到焦点的距离,避免使用复杂的两点距离公式。
探索问题
椭圆 \(\dfrac{x^2}{25} + \dfrac{y^2}{9} = 1\) 上有一点 \(P(3, y_0)\)。不求 \(y_0\) 的值,你能直接算出 \(P\) 到右焦点 \(F_2\) 的距离吗?
提示:回忆椭圆的定义和第二定义(焦点-准线关系)。
几何直觉:焦半径的两种来源
焦半径公式有两种推导方式,分别来自椭圆的两个定义:
- 第一定义(距离和):\(|PF_1| + |PF_2| = 2a\),所以知道一个就知道另一个
- 第二定义(焦点-准线):\(\dfrac{|PF|}{d} = e\),其中 \(d\) 是点到同侧准线的距离
两种方法殊途同归,最终得到同一个公式。
动画:焦半径公式的动态验证
拖动滑块移动点 \(P\),观察两条焦半径 \(|PF_1|\) 和 \(|PF_2|\) 如何随 \(P\) 的位置变化,同时验证焦半径公式的正确性。
公式推导
从第二定义推导焦半径公式
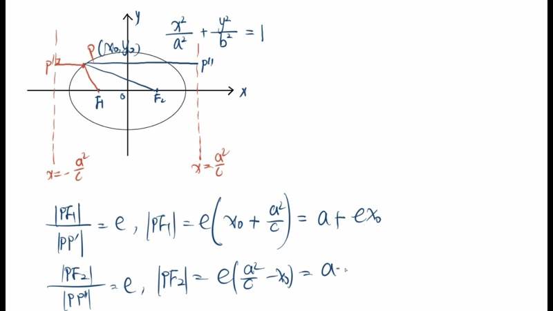
椭圆的第二定义告诉我们:椭圆上任意一点 \(P(x_0, y_0)\) 到焦点的距离与到同侧准线的距离之比为离心率 \(e\)。
右焦点 \(F_2\) 的焦半径:
右准线方程为 \(x = \dfrac{a^2}{c} = \dfrac{a}{e}\),\(P\) 到右准线的距离为 \(\dfrac{a}{e} - x_0\)。
\[\frac{|PF_2|}{\dfrac{a}{e} - x_0} = e\]
\[|PF_2| = e \cdot \left(\frac{a}{e} - x_0\right) = a - ex_0\]
左焦点 \(F_1\) 的焦半径:
左准线方程为 \(x = -\dfrac{a}{e}\),\(P\) 到左准线的距离为 \(x_0 + \dfrac{a}{e}\)。
\[|PF_1| = e \cdot \left(x_0 + \frac{a}{e}\right) = a + ex_0\]
\[|PF_1| = a + ex_0, \quad |PF_2| = a - ex_0\]
其中 \(P(x_0, y_0)\) 是椭圆上任意一点,\(F_1\) 为左焦点,\(F_2\) 为右焦点。
记忆口诀:“左加右减”——左焦点用加号,右焦点用减号。
验证:\(|PF_1| + |PF_2| = (a + ex_0) + (a - ex_0) = 2a\) ✓
双曲线的焦半径公式
双曲线的推导方法完全相同(用第二定义),但要注意绝对值:
- 右支上的点 \((x_0 > 0)\):\(|PF_1| = a + ex_0\),\(|PF_2| = -a + ex_0\)
- 左支上的点 \((x_0 < 0)\):\(|PF_1| = -a - ex_0\),\(|PF_2| = a - ex_0\)
统一写法:\(|PF_1| = |a + ex_0|\),\(|PF_2| = |a - ex_0|\)
抛物线的焦半径公式
对于抛物线 \(y^2 = 2px\),焦点 \(F(\dfrac{p}{2}, 0)\),准线 \(x = -\dfrac{p}{2}\)。
由抛物线定义:$|PF| = $ 到准线距离 \(= x_0 + \dfrac{p}{2}\)
\[\boxed{|PF| = x_0 + \frac{p}{2}}\]
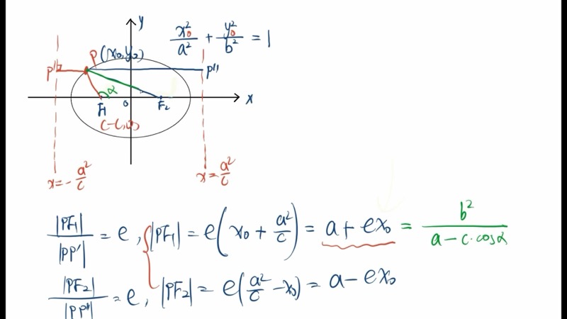
极坐标(角度)形式
以焦点为极点时,焦半径也可以用角度表示。对椭圆以左焦点为极点:
\[|PF_1| = \frac{b^2/a}{1 - e\cos\theta}\]
其中 \(\theta\) 是 \(PF_1\) 与正 \(x\) 轴的夹角。这个形式在处理焦点三角形时特别有用。
Worked Example
题目: 椭圆 \(\dfrac{x^2}{25} + \dfrac{y^2}{16} = 1\) 上一点 \(P\) 到左焦点 \(F_1\) 的距离为 \(2\),求 \(P\) 到右焦点 \(F_2\) 的距离。
解题过程:
Step 1:读取参数
- \(a^2 = 25\),\(b^2 = 16\) → \(a = 5\),\(b = 4\)
- \(c^2 = a^2 - b^2 = 9\) → \(c = 3\)
- \(e = \dfrac{c}{a} = \dfrac{3}{5}\)
Step 2:利用定义直接求解
由椭圆定义:\(|PF_1| + |PF_2| = 2a = 10\)
\[|PF_2| = 2a - |PF_1| = 10 - 2 = 8\]
Step 3:用焦半径公式反求 \(x_0\)(附加练习)
由 \(|PF_1| = a + ex_0 = 5 + \dfrac{3}{5}x_0 = 2\)
\[x_0 = \frac{2 - 5}{3/5} = -5\]
验证:\(|PF_2| = a - ex_0 = 5 - \dfrac{3}{5} \times (-5) = 5 + 3 = 8\) ✓
注意:\(x_0 = -5\) 正好是左顶点,\(P\) 在左顶点时到左焦点最近。
Desmos探索
调节参数 \(t\) 移动椭圆上的点 \(P\),观察焦半径 \(r_1 = a + ex_0\) 和 \(r_2 = a - ex_0\) 的实时变化。
参考视频
高考真题
已知椭圆 \(C: \dfrac{x^2}{25}+\dfrac{y^2}{9}=1\),\(F_1, F_2\) 分别为左、右焦点。点 \(P\) 在椭圆 \(C\) 上,且 \(P\) 的横坐标为 \(3\),则 \(|PF_1|=\)( )
A. \(\dfrac{7}{5}\) B. \(\dfrac{13}{5}\) C. \(\dfrac{17}{5}\) D. \(\dfrac{23}{5}\)
\(a^2=25, b^2=9\),\(a=5, c=\sqrt{25-9}=4\),\(e=\dfrac{c}{a}=\dfrac{4}{5}\)。
焦半径公式:\(|PF_1|=a+ex_0=5+\dfrac{4}{5}\times 3=5+\dfrac{12}{5}=\dfrac{37}{5}\)。
但选项中没有 \(\dfrac{37}{5}\),检查是否应为左焦半径:
- \(|PF_1|=a+ex_0=5+\dfrac{4}{5}\times 3=\dfrac{37}{5}\)(到左焦点距离)
- \(|PF_2|=a-ex_0=5-\dfrac{4}{5}\times 3=5-\dfrac{12}{5}=\dfrac{13}{5}\)(到右焦点距离)
验证:\(|PF_1|+|PF_2|=\dfrac{37}{5}+\dfrac{13}{5}=10=2a\) ✓
所以 \(|PF_2|=\dfrac{13}{5}\)。
答案:B
关键: 焦半径公式 \(|PF_1|=a+ex_0\)(左焦点),\(|PF_2|=a-ex_0\)(右焦点),直接代入 \(x_0\) 即可。
已知抛物线 \(C: y^2=8x\),\(F\) 为焦点,\(P\) 是 \(C\) 上的一点,\(|PF|=5\),则 \(P\) 的横坐标为( )
A. \(2\) B. \(3\) C. \(4\) D. \(5\)
\(y^2=8x\),\(2p=8\),\(p=4\),焦点 \(F(2,0)\)。
抛物线焦半径公式:\(|PF|=x_0+\dfrac{p}{2}=x_0+2\)。
令 \(|PF|=5\),则 \(x_0+2=5\),\(x_0=3\)。
答案:B
关键帧




速查表
| 曲线 | 公式 | 条件 |
|---|---|---|
| 椭圆 | \(\|PF_1\| = a + ex_0\),\(\|PF_2\| = a - ex_0\) | 焦点在 \(x\) 轴,\(F_1\) 左 \(F_2\) 右 |
| 双曲线(右支) | \(\|PF_1\| = a + ex_0\),\(\|PF_2\| = ex_0 - a\) | \(x_0 > 0\) |
| 双曲线(左支) | \(\|PF_1\| = -a - ex_0\),\(\|PF_2\| = a - ex_0\) | \(x_0 < 0\) |
| 抛物线 | \(\|PF\| = x_0 + \dfrac{p}{2}\) | \(y^2 = 2px\) |
焦点在 \(y\) 轴时:把公式中的 \(x_0\) 换成 \(y_0\) 即可。
- “左加右减”记反:\(|PF_1|\)(左焦点)= \(a \mathbf{+}\, ex_0\),\(|PF_2|\)(右焦点)= \(a \mathbf{-}\, ex_0\)。左焦点距离在 \(x_0 > 0\) 时更大,所以用加号!
- 双曲线忘记分支:双曲线左右支的公式不同,必须判断点在哪一支上(看 \(x_0\) 的正负)
- 焦点在 \(y\) 轴时套错公式:焦点在 \(y\) 轴时,焦半径中应使用 \(y_0\) 而非 \(x_0\)
- 抛物线忘记加 \(p/2\):\(|PF| = x_0 + \dfrac{p}{2}\),不是 \(x_0\)!“加半个 \(p\)”
- 不检查焦半径的范围:椭圆上焦半径范围为 \([a-c, a+c]\),即 \([a(1-e), a(1+e)]\)