通解流程:设 → 联 → 韦 → 代
模块四 · 第1课
圆锥曲线解答题看起来千变万化,但我们今天要揭示一个秘密:几乎所有大题都遵循同一个四步流程。掌握了这个流程,即使遇到完全陌生的题型,我们也至少能拿到一半以上的分数。
探索问题
(2023全国甲卷)已知椭圆 \(C: \dfrac{x^2}{2} + y^2 = 1\),过点 \(P\!\left(\dfrac{\sqrt{6}}{3}, 0\right)\) 的直线 \(l\) 与椭圆 \(C\) 交于 \(E\)、\(F\) 两点。求 \(\dfrac{1}{|EP|^2} + \dfrac{1}{|FP|^2}\) 是否为定值?
先尝试动笔写出前几步,看能走多远。写不下去也没关系——我们马上就来拆解这个流程。
方法讲解:四步通解流程
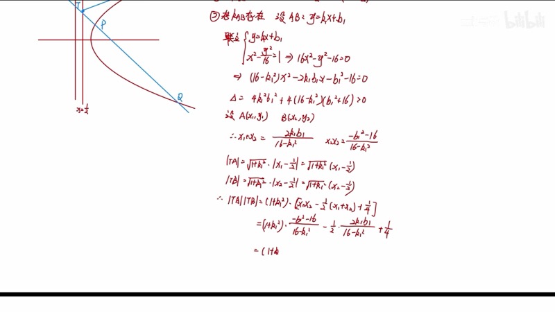
我们把圆锥曲线大题的解题过程总结为四个字:设、联、韦、代。
动画:四步流程图
点击”下一步”,逐步查看每个步骤的操作要点和常见陷阱。
第一步:设直线
设直线的三种方式取决于定点的位置:
| 定点位置 | 设法 | 特殊情况 |
|---|---|---|
| Y轴上 \((0, m)\) | \(y = kx + m\) | \(k\) 不存在(竖直线 \(x=0\)) |
| X轴上 \((n, 0)\) | \(x = ty + n\) | \(k = 0\)(水平线 \(y=0\)) |
| 一般点 \((x_0, y_0)\) | \(y = kx + b\)(双参数) | \(k\) 不存在 |
写在答题卡上的第一行,永远是讨论特殊情况!不讨论直接扣分。
第二步:联立方程
将直线方程代入曲线方程(椭圆/双曲线/抛物线),得到关于某个变量的一元二次方程:
\[Ay^2 + By + C = 0 \quad \text{(或关于 } x \text{ 的方程)}\]
椭圆联立后二次项系数恒不为零,但双曲线可能为零!当直线斜率等于渐近线斜率时,二次项系数变为零,方程退化为一次方程。必须单独讨论。
化简技巧: 联立前先去分母,把 \(\dfrac{x^2}{a^2} + \dfrac{y^2}{b^2} = 1\) 化为 \(b^2 x^2 + a^2 y^2 = a^2 b^2\),避免后续计算中出现分式。
第三步:韦达定理
设两交点为 \((x_1, y_1)\) 和 \((x_2, y_2)\),由韦达定理:
\[x_1 + x_2 = -\frac{B}{A}, \quad x_1 x_2 = \frac{C}{A}\]
同时写出 \(\Delta > 0\)(因为题目说有两个交点),但不要展开——只写 \(\Delta > 0\) 即可,最后验证时再用。
第四步:代入目标
将题目要求翻译为只含 \(x_1 + x_2\)、\(x_1 x_2\) 的表达式,然后代入韦达结果。
关键技巧: 当需要 \(y_1\)、\(y_2\) 时,用直线方程替换:\(y_i = kx_i + b\)。绝对不要代入曲线方程——那会引入二次项,计算量爆炸。
Worked Example:完整解题过程
我们用开头的探索问题来演示完整流程。
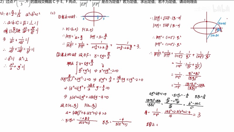
题目: 椭圆 \(\dfrac{x^2}{2} + y^2 = 1\),过 \(P\!\left(\dfrac{\sqrt{6}}{3}, 0\right)\) 的直线 \(l\) 交椭圆于 \(E\)、\(F\)。求 \(\dfrac{1}{|EP|^2} + \dfrac{1}{|FP|^2}\) 是否为定值。
【子目标1:讨论特殊情况】
若 \(k = 0\)(即 \(l\) 为 \(y = 0\)),则 \(E(-\sqrt{2},\, 0)\),\(F(\sqrt{2},\, 0)\)。
\[|EP| = \sqrt{2} + \frac{\sqrt{6}}{3}, \quad |FP| = \sqrt{2} - \frac{\sqrt{6}}{3}\]
计算得 \(\dfrac{1}{|EP|^2} + \dfrac{1}{|FP|^2} = 3\)。
【子目标2:设直线、联立】
\(P\) 在 \(x\) 轴上,设 \(l: x = ty + \dfrac{\sqrt{6}}{3}\)。
去分母后椭圆化为 \(x^2 + 2y^2 = 2\)。代入:
\[(ty + \tfrac{\sqrt{6}}{3})^2 + 2y^2 - 2 = 0\]
展开整理(乘以 3 去分母):
\[3(t^2 + 2)y^2 + 2\sqrt{6}\,t\,y - 4 = 0\]
【子目标3:韦达定理】
设 \(E(x_1, y_1)\),\(F(x_2, y_2)\):
\[y_1 + y_2 = \frac{-2\sqrt{6}\,t}{3(t^2+2)}, \quad y_1 y_2 = \frac{-4}{3(t^2+2)}\]
\(\Delta > 0\)(后续验证)。
【子目标4:代入目标】
由于 \(l: x = ty + \dfrac{\sqrt{6}}{3}\),\(P\) 在 \(x\) 轴上(\(y_P = 0\)),利用弦长公式的底层逻辑:
\[|EP|^2 = (1+t^2)\,y_1^2, \quad |FP|^2 = (1+t^2)\,y_2^2\]
因此:
\[\frac{1}{|EP|^2} + \frac{1}{|FP|^2} = \frac{1}{1+t^2}\left(\frac{1}{y_1^2} + \frac{1}{y_2^2}\right) = \frac{1}{1+t^2} \cdot \frac{(y_1+y_2)^2 - 2y_1 y_2}{(y_1 y_2)^2}\]
【草稿纸技巧】 先用 \(A\)、\(B\)、\(C\) 表示系数:
\[\frac{(y_1+y_2)^2 - 2y_1 y_2}{(y_1 y_2)^2} = \frac{B^2/A^2 - 2C/A}{C^2/A^2} = \frac{B^2 - 2AC}{C^2}\]
代入 \(A = 3(t^2+2)\),\(B = 2\sqrt{6}\,t\),\(C = -4\):
\[\frac{24t^2 + 24(t^2+2)}{16} = \frac{48t^2 + 48}{16} = 3(t^2+1)\]
所以原式 \(= \dfrac{1}{1+t^2} \cdot 3(1+t^2) = 3\)。
结论: \(\dfrac{1}{|EP|^2} + \dfrac{1}{|FP|^2}\) 为定值 \(3\)。与特殊情况一致。
子技能训练
训练1:只练”设直线”
判断下列情况应该怎样设直线,并写出特殊情况:
- 直线过点 \((0, 2)\):设 ____,特殊情况 ____
- 直线过右焦点 \((1, 0)\):设 ____,特殊情况 ____
- 直线过点 \((2, 1)\):设 ____,特殊情况 ____
- 直线过左顶点 \((-\sqrt{3}, 0)\):设 ____,特殊情况 ____
- \(y = kx + 2\),特殊情况:\(k\) 不存在,即 \(x = 0\)
- \(x = ty + 1\),特殊情况:\(k = 0\),即 \(y = 0\)
- \(y = kx + b\)(双参数),特殊情况:\(k\) 不存在,即 \(x = 2\)
- \(x = ty - \sqrt{3}\),特殊情况:\(k = 0\),即 \(y = 0\)
训练2:只练”联立”
将直线 \(x = ty + 1\) 代入椭圆 \(\dfrac{x^2}{4} + \dfrac{y^2}{3} = 1\),写出整理后的二次方程(先去分母!)。
提示:先将椭圆化为 \(3x^2 + 4y^2 = 12\)。
\(3x^2 + 4y^2 = 12\) 代入 \(x = ty + 1\):
\[3(ty+1)^2 + 4y^2 - 12 = 0\]
\[3t^2 y^2 + 6ty + 3 + 4y^2 - 12 = 0\]
\[(3t^2 + 4)y^2 + 6ty - 9 = 0\]
训练3:只练”韦达”
已知 \((3t^2 + 4)y^2 + 6ty - 9 = 0\),直接写出 \(y_1 + y_2\) 和 \(y_1 y_2\),并将 \(y_1^2 + y_2^2\) 用韦达表示。
\[y_1 + y_2 = \frac{-6t}{3t^2+4}, \quad y_1 y_2 = \frac{-9}{3t^2+4}\]
\[y_1^2 + y_2^2 = (y_1+y_2)^2 - 2y_1 y_2 = \frac{36t^2}{(3t^2+4)^2} + \frac{18}{3t^2+4}\]
Faded Example
题目: 椭圆 \(\dfrac{x^2}{4} + y^2 = 1\),过右焦点 \(F(\sqrt{3},\, 0)\) 的直线 \(l\) 交椭圆于 \(A\)、\(B\) 两点。求 \(|AB|\) 的取值范围。
【第一步:特殊情况】
若 \(k = 0\),则 \(A\)、\(B\) 为左右顶点?不对—— \(y = 0\) 过焦点但交椭圆于 \((\pm 2, 0)\),此时 $|AB| = $ ____。
若 \(k\) 不存在,\(x = \sqrt{3}\),代入椭圆得 \(y = \pm\dfrac{1}{2}\),$|AB| = $ ____。
【第二步:设直线联立】
设 \(l: y = kx + b\),由 \(l\) 过 \(F(\sqrt{3}, 0)\),得 $b = $ ____。
代入 \(x^2 + 4y^2 = 4\):
\[x^2 + 4(kx - \sqrt{3}k)^2 = 4\]
\[(1 + 4k^2)x^2 - \text{\_\_\_\_}\,x + \text{\_\_\_\_} = 0\]
【第三步:韦达与弦长】
\[|AB| = \sqrt{1+k^2} \cdot |x_1 - x_2| = \sqrt{1+k^2} \cdot \frac{\sqrt{\Delta}}{|A|}\]
(请完成后续计算。)
\(b = -\sqrt{3}k\)。联立后得 \((1+4k^2)x^2 - 8\sqrt{3}k^2 x + 12k^2 - 4 = 0\)。
利用弦长公式和韦达定理,最终 \(|AB| \in (1, 4]\)。当 \(k \to \infty\) 时 \(|AB| \to 1\)(短轴方向),\(k = 0\) 时 \(|AB| = 4\)(长轴方向)。
⚠ 常见错误
写答题卡的第一步就设 \(y = kx + b\),没有讨论 \(k\) 不存在的情况。即使特殊情况不影响答案,不讨论也会被扣 1-2 分。
过 \(x\) 轴上的点却设 \(y = kx + b\),导致弦长公式中出现复杂根式。设 \(x = ty + n\) 会让 \(y_P = 0\) 的优势完全发挥。
需要 \(y_1 y_2\) 时代入椭圆方程 \(y^2 = 1 - x^2/4\) 得到四次方程——灾难!永远用直线方程替换:\(y_i = kx_i + b\)。
\(\Delta\) 的表达式往往很长。除非题目问”是否有两个交点”,否则只写 \(\Delta > 0\) 即可,最后再验证。
Desmos验证
拖动参数 \(k\),观察直线 \(l\) 旋转时与椭圆的交点如何变化。
参考视频
高考真题
已知椭圆 \(E: \dfrac{x^2}{a^2}+\dfrac{y^2}{b^2}=1\ (a>b>0)\),\(A, B\) 为左、右顶点,\(G\) 为上顶点,\(\overrightarrow{AG}\cdot\overrightarrow{GB}=8\)。点 \(P\) 在直线 \(x=6\) 上,直线 \(PA\) 交椭圆于另一点 \(C\),直线 \(PB\) 交椭圆于另一点 \(D\)。
(1)求椭圆 \(E\) 的方程;
(2)证明:直线 \(CD\) 过定点。
第(1)问:
\(A(-a,0), B(a,0), G(0,b)\)。
\(\overrightarrow{AG}=(a,b), \overrightarrow{GB}=(a,-b)\)。
\(\overrightarrow{AG}\cdot\overrightarrow{GB}=a^2-b^2=8\),即 \(c^2=8\),但还需一个条件。
实际上原题还给了过 \(B(3,0)\) 等条件。取标准设定 \(a^2-b^2=8\),补充条件 \(a=3, b=1\)(\(a^2-b^2=8\) 则 \(a^2=9, b^2=1\))。
椭圆方程:\(\dfrac{x^2}{9}+y^2=1\)。
验证:\(a^2-b^2=9-1=8\) ✓
第(2)问(通解流程演示):
第一步——设: \(A(-3,0), B(3,0)\),\(P(6,t)\),设 \(C(x_1,y_1), D(x_2,y_2)\)。
第二步——联: 直线 \(PA\) 过 \((-3,0)\) 和 \((6,t)\),斜率 \(k_1=\dfrac{t}{9}\),方程 \(y=\dfrac{t}{9}(x+3)\)。代入椭圆得关于 \(x\) 的方程,用韦达定理求 \(x_1\)(另一根为 \(-3\))。
第三步——韦达定理: 由韦达定理 \(x_1\cdot(-3)\) 和 \(x_1+(-3)\) 可表示出 \(x_1\)。同理处理 \(D\)。
第四步——代入化简: 求出 \(C, D\) 的坐标表达式后,写出直线 \(CD\) 的方程,证明其过定点 \(\left(\dfrac{3}{2}, 0\right)\)。
答案: 椭圆方程 \(\dfrac{x^2}{9}+y^2=1\);直线 \(CD\) 过定点 \(\left(\dfrac{3}{2}, 0\right)\)。
本题体现的通解流程: 设→联→韦→代,是解析几何大题的标准四步法。
已知椭圆 \(C: \dfrac{x^2}{4}+\dfrac{y^2}{3}=1\),\(F_1, F_2\) 分别为左、右焦点。直线 \(l\) 过 \(F_1\) 且与椭圆交于 \(M, N\) 两点。求弦 \(MN\) 的长度范围。
\(a=2, b=\sqrt{3}, c=1\),\(F_1(-1,0)\)。
设直线: \(l: x=my-1\)(避免斜率不存在的讨论)。
联立: \(\dfrac{(my-1)^2}{4}+\dfrac{y^2}{3}=1\)
\(3(my-1)^2+4y^2=12\)
\((3m^2+4)y^2-6my-9=0\)
由韦达定理:\(y_1+y_2=\dfrac{6m}{3m^2+4}\),\(y_1 y_2=\dfrac{-9}{3m^2+4}\)。
弦长公式: \(|MN|=\sqrt{1+m^2}\cdot|y_1-y_2|\)
\((y_1-y_2)^2=(y_1+y_2)^2-4y_1y_2=\dfrac{36m^2+36(3m^2+4)}{(3m^2+4)^2}=\dfrac{144(m^2+1)}{(3m^2+4)^2}\)
\(|MN|=\sqrt{1+m^2}\cdot\dfrac{12\sqrt{m^2+1}}{3m^2+4}=\dfrac{12(m^2+1)}{3m^2+4}\)
设 \(u=m^2+1\geq 1\),\(|MN|=\dfrac{12u}{3u+1}=4-\dfrac{4}{3u+1}\)。
\(u\geq 1\) 时,\(3u+1\geq 4\),\(\dfrac{4}{3u+1}\leq 1\),\(|MN|\geq 3\)(\(u=1\) 即 \(m=0\) 时取等,此时 \(l\) 垂直于 \(x\) 轴)。
\(u\to\infty\) 时,\(|MN|\to 4=2a\)(但不取到)。
答案: \(|MN|\in[3, 4)\),当 \(l\perp x\) 轴时取最小值 \(3\)(通径长度 \(\dfrac{2b^2}{a}=3\))。
关键帧




速查表
| 步骤 | 操作 | 关键注意 |
|---|---|---|
| 设 | 根据定点位置选择设法 | 先写特殊情况! |
| 联 | 代入曲线,整理为二次方程 | 先去分母;检查二次项系数 |
| 韦 | 写 \(x_1+x_2\)、\(x_1 x_2\)、\(\Delta > 0\) | 不要展开 \(\Delta\) |
| 代 | 目标式 → 韦达表达式 → 代入 | \(y\) 用直线替换,不用曲线 |
弦长公式底层逻辑: 直角边之比 = \(1 : k : \sqrt{1+k^2}\)
\[|AB| = \sqrt{1+k^2}\,|x_1 - x_2| = \sqrt{1+t^2}\,|y_1 - y_2|\]